generate_data <- function(n=200, hr1, hr2) {
stoma <- rbinom(n, size = 1, prob = 0.4)
sex <- rbinom(n, size = 1, prob = 0.5)
age <- rnorm(n, mean = 65 + 3 * stoma, sd = 8)
hazard_relapse <- ifelse(stoma == 1, hr1*0.10, 0.10) # 再発のハザード(大きいほど早く起こる)
hazard_death <- ifelse(stoma == 1, hr2*0.10, 0.10) # 死亡のハザード(大きいほど早く起こる)
hazard_censoring <- 0.05 # 打ち切りハザード(群に依存しない)
t_relapse <- rexp(n, rate = hazard_relapse) # 再発までの潜在時間
t_death <- rexp(n, rate = hazard_death) # 死亡までの潜在時間
t_censoring <- rexp(n, rate = hazard_censoring) # 打ち切りまでの潜在時間
## --- 全生存期間(OS) ----------------------------------------
time_os <- pmin(t_death, t_censoring)
status_os <- as.integer(t_death <= t_censoring) # 1 = 死亡, 0 = 打ち切り
## --- 無再発生存期間(RFS) -----------------------------------
time_rfs <- pmin(t_relapse, t_death, t_censoring)
status_rfs <- integer(n)
status_rfs[time_rfs == t_relapse & time_rfs < t_censoring] <- 1 # 再発
status_rfs[time_rfs == t_death & time_rfs < t_censoring] <- 1 # 死亡
## --- 累積再発率(CIR) + 競合リスク --------------------------
time_cir <- pmin(t_relapse, t_death, t_censoring)
status_cir <- integer(n)
status_cir[time_cir == t_relapse & time_cir < t_censoring] <- 1 # イベント1: 再発
status_cir[time_cir == t_death & time_cir < t_censoring] <- 2 # イベント2: 競合リスクとしての死亡
## --- データフレームにまとめる --------------------------------
dat <- data.frame(
id = 1:n,
sex = factor(sex, levels = c(0, 1), labels = c("WOMAN", "MAN")),
age = age,
stoma = factor(stoma, levels = c(0, 1),
labels = c("WITHOUT STOMA", "WITH STOMA")),
time_os = time_os,
status_os = status_os,
time_rfs = time_rfs,
status_rfs = status_rfs,
time_cir = time_cir,
status_cir = status_cir
)
}R Demonstration of Bias in Kaplan-Meier Under Competing Risks

Frequentist Experiments I − R Demonstration of Bias in Kaplan-Meier Under Competing Risks
Keywords: bias, probability model, simulation, survival & competing risks
モデルを立ててバイアスを確かめる
私「おはよう、今朝は冷えるね。ご飯食べてるところ悪いんだけど、ちょっと気になったことがあって。以前、統計学にはランダム誤差とバイアスがあるっていってたよね、覚えてる?あ、コーヒーもらっていい?」
お父さん「覚えてるよ。コーヒーもどうぞ、まだ冷めてないと思う」
私「バイアスって疫学で習うものだよね。統計学の本を読んでもバイアスなんて出てこないよ」
お父さん「そうだね、不偏推定量(unbiased estimator)っていう概念があるんだけど、数理統計学の話だから目にしないと思う」
私「そうなんだ。でも聞いた感じ、疫学のバイアスとは別でしょ?データを解析した結果とどういう関係があるの?」
お父さん「ああ、そういうことね。確かに、疫学で出てくる研究実施上のバイアスそのものは、統計学の教科書にあまり登場しないね。でも、推定した結果が真値からずれるっていう意味では同じもの。少し時間ある?カバンの中のパソコン出せる?」
私「え?朝からなにするの?」
お父さん「統計学ではよく、シミュレーションっていってデータを乱数で発生させて実験するんだ。Kaplan-Meier曲線を描くとき、競合リスクの扱いによってはバイアスが生じるってことをみせてあげるよ、バイアスがどれくらい困ったことなのか実感ないみたいだから。前に使ったRスクリプトをいじるだけですぐ終わるから」
私「仕方ないな」
お父さん「パソコンを立ち上げる間に何をするか話そう。まずね、いまから見せるのは”研究の不備”のバイアスじゃなくて、“目標としている値と違う値を統計的に推定してしまう”という現象だよ。競合リスクを含むデータは、こういう仕組みで生まれる」
- 再発までの時間を発生させる
- 死亡までの時間を発生させる(競合リスク)
- 打ち切りまでの時間を発生させる
お父さん「実際に観測されるのは、もちろんそのうち一番先に起きたイベント、つまりこの3つの値の最小値をとる」
私「なるほど、それなら再発より先に死亡したら、再発は観測されないわけだ。当たり前だけど、シミュレーションはこうやるのね」
お父さん「ここで問題になるのが統計手法の選び方なんだ。よく死亡を打ち切りにした解析を見るでしょ。あのKaplan-Meier曲線は、現実世界で再発が生じる確率を過大評価してしまう。これじゃなくてAalen-Johansen曲線を推定すると、正しく再発確率が求められる。ではRでデータを発生させてみよう」
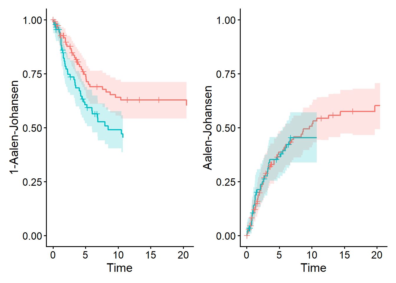
以前生成したシミュレーションデータにおける累積再発率(CIR)の解析では、再発の前に死亡した患者(競合リスク)を発生させたことを覚えていますか?競合リスク存在下でKaplan-Meier曲線を用いるとバイアスが生じることは、簡単な実験で確かめることができます。
Kaplan-Meier曲線とAalen-Johansen曲線は、どちらもcifmodelingパッケージのcifplot()を使って生成できますが、イベントのコーディングを入力するcode.event1、code.event2とデータの型を表すoutcome.typeを、指定する必要があります。generate_data()で生成したシミュレーションデータでは、CIRのイベントは以下のようにコーディングされていました。
status_cir=1: 再発status_cir=2: 再発を経験しない死亡status_cir=0: 打ち切り
以下のRスクリプトでは、最初のcifplot()により、再発(code.event1=1)に関するAalen-Johansen曲線(aj_event1)を出力しています。縦軸は累積発生確率ではなく、1-累積発生確率を選んでいる点にも注意してください(type.y="surv")。そして次のcifplot()ではイベントを入れ替えて、再発を経験しない死亡(code.event1=1)に関するAalen-Johansen曲線(aj_event2)を出力し、cifpanel()に用いて2つの図を左右に配置したひとつの図を表示しています。左右の累積発生確率の和に注目してください。この図からは、再発の累積発生確率と(再発を経験しない)死亡の累積発生確率の和は、時間が経つにつれ1に近づくが、1を超えることはないことがわかります。仮に打ち切りがなかったとしたら、再発と(再発を経験しない)死亡のどちらか一方しか生じないため、Aalen-Johansen曲線の和が1を超えないのは自然なことです。
# devtools::install_github("gestimation/cifmodeling") #インストールが必要なら実行
library(cifmodeling)
dat <- generate_data(hr1=2, hr2=1.5) #再発ハザード比2, 死亡ハザード比1.5のデータ生成
aj_event1 <- cifplot(Event(time_cir, status_cir) ~ stoma,
data = dat,
outcome.type = "competing-risk",
type.y = "surv",
label.y = "1-Aalen-Johansen",
code.event1 = 1,
code.event2 = 2
)
aj_event2 <- cifplot(Event(time_cir, status_cir) ~ stoma,
data = dat,
outcome.type = "competing-risk",
type.y = "risk",
label.y = "Aalen-Johansen",
code.event1 = 2,
code.event2 = 1
)
aj_list <- list(aj_event1$plot, aj_event2$plot)
aj_panel <- cifpanel(rows.columns.panel = c(1,2), plots=aj_list)
print(aj_panel)
実際の研究では、死亡を打ち切りとして扱った生存時間解析の結果をしばしば目にします。この解析に対応するKaplan-Meier曲線は、以下のようにイベントのコーディングを変更し、outcome.type="survival"を指定することで出力できます。
status_cir1=1: 再発status_cir1=0: 再発を経験しない死亡/打ち切りstatus_cir2=1: 再発を経験しない死亡status_cir2=0: 再発/打ち切り
新しく作ったイベント変数status_cir1とstatus_cir2を用いると、再発のKaplan-Meier曲線と(再発を経験しない)死亡のKaplan-Meier曲線を描くことができます。これらのKaplan-Meier曲線を左右に配置した図を、先ほどのAalen-Johansen曲線の図と比べてみてください。先ほどのAalen-Johansen曲線の和とは違い、Kaplan-Meier曲線の和が1を超えてしまって計算が合わないことが読み取れたでしょうか。
dat$status_cir1 <- as.numeric(dat$status_cir==1)
km_event1 <- cifplot(Event(time_cir, status_cir1) ~ stoma,
data = dat,
outcome.type = "survival",
type.y = "surv",
label.y = "Kaplan-Meier"
)
dat$status_cir2 <- as.numeric(dat$status_cir==2)
km_event2 <- cifplot(Event(time_cir, status_cir2) ~ stoma,
data = dat,
outcome.type = "survival",
type.y = "risk",
label.y = "1-Kaplan-Meier"
)
km_list <- list(km_event1$plot, km_event2$plot)
km_panel <- cifpanel(rows.columns.panel = c(1,2), plots=km_list)
print(km_panel)
お父さん「わかった?打ち切りがランダムっていうのがKaplan-Meier曲線の前提条件なんだ。でも”競合イベントを打ち切り扱いにしていいか”は、ランダム打ち切りとは別問題なんだ。
私「なるほどね。再発確率と死亡確率を足して1を超えることはあり得ない、Kaplan-Meier曲線にバイアスが生じていることの証拠だっていいたいのね。確かに、百聞は一見に如かず」
お父さん「そう。このシミュレーションとまったく同じことを、統計学の数式は意味している。つまり、データ発生のアルゴリズムは確率モデルっていって、教科書では研究でなにが起きるかを抽象化した数式で書かれているんだ。そして、どんな推定でも使用条件みたいなものがあって、前提にしている確率モデルからずれると、推定値もまた真値からずれる。これは統計手法の誤用でも研究不備でも同じことだけど」
Kaplan-Meier法による生存曲線の推定が妥当な状況として正しいのは、次のうちどれでしょうか。
- 生存時間が正規分布するとき
- 打ち切りの理由が疾患の悪化によらないとき
- 2群の打ち切り確率に統計学的な有意差がなかったとき
- 試験治療群とコントロール群の間で比例ハザード性が成り立つとき
- 正解は2です
Kaplan-Meier法では、生存時間が正規分布したり、比例ハザードが成り立ったりする必要はありません(これはそれぞれt検定とCox回帰の前提条件ですね)。疾患の悪化に伴って、試験の途中で患者が追跡できなくなると、推定された生存曲線にバイアスが生じてしまいます。2群の生存曲線を比べるとき、それぞれの群の打ち切り確率を比較することがあります。有意差があればバイアスがあるといえますが、たとえばサンプルサイズが小さいときは有意差が出ませんから、Kaplan-Meier法が妥当という証拠にはなりません。逆にいうと、打ち切りがランダムに起きていることが、Kaplan-Meier法の基本的な前提条件です。なお、競合イベントを打ち切りとして扱うかどうかは、ランダム打ち切りの条件とは独立に検討すべき問題ですよね。